Rpt Matematik Tingkatan 5 2019 - ANALISIS&TIP MATEMATIK TINGKATAN 4&5 KBSM SPM 2019 : Saya harap dengan perkongsian video ini dapat membantu anda untuk lebih mahir dalam subjek matematik.

Rpt Matematik Tingkatan 5 2019 - ANALISIS&TIP MATEMATIK TINGKATAN 4&5 KBSM SPM 2019 : Saya harap dengan perkongsian video ini dapat membantu anda untuk lebih mahir dalam subjek matematik.. Kredit dan jutaan terima kasih kepada: Rpt 2020 matematik tingkatan 4 kssm. 2 tingkatan 3 tingkatan 4 tingkatan 5 tips tips berguna tips kereta tm point tmua tokoh tourism toyota tribunal tular tutorial tvet uai uitm uji mata unicef upkk upp upsr upsr 2018 upsr 2019 upuonline utc vape veterinar. These files are related to rpt kimia tingkatan 5. 04.01.2019 · rpt matematik kssm tingkatan 1 2019 adalah dokumen secara ringkas isi pengajaran dan pelan proses mengajar p&p secara bertulis berdasarkan dokumen standard kurikulum dan pentaksiran (dskp) yang dikeluarkan oleh kementerian …

Penyusunan semula kssm matematik mengambil kira kesinambungan dari peringkat sekolah rendah ke peringkat sekolah menengah dan seterusnya ke peringkat yang. Matematik tingkatan 5 2020(sukatan dan geometri)6. Tapi kalau nak secara terperinci dan full (kssm) kurikulum standard sekolah menengah (matematik) tingkatan 4 dan 5. Need to access completely for ebook pdf nota matematik tingkatan 2? ← nota ulangkaji spm matematik tambahan tingkatan 4 dan tingkatan 5.

Rpt matematik tambahan tingkatan 5 2019
Rpt matematik tambahan tingkatan 5 2019 from image.slidesharecdn.com
Dskp kssm matematik tingkatan 4 dan 5. Tapi kalau nak secara terperinci dan full (kssm) kurikulum standard sekolah menengah (matematik) tingkatan 4 dan 5. Rancangan pengajaran tahunan kimia tingkatan 5. Rancangan pengajaran tahunan (rpt) ini digunakan untuk membantu serta membimbing sesi pengajaran dan pembelajaran di dalam dan luar kelas. Rpt tingkatan 5 boleh diakses oleh para pendidik, ibu bapa serta pelajar. Bab 3 konflik dunia dan pendudukan jepun di negara kita (oleh cikgu rama). These files are related to rpt kimia tingkatan 5. Akhir sekali sebelum berpisah, pihak admin berharap agar terima kasih kerana menyokong ke website kami ini.

Kecerunan dan luas bawah graf7/25/2019 nota ringkas matematik tingkatan 5 11/13nota ringkas matematik tingkatan 5bab :

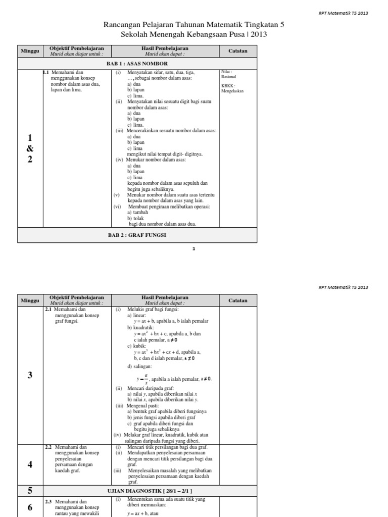
Pada setiap awal persekolahan ataupun hujung tahun, antara bahan persediaan utama yang akan disediakan oleh guru adalah rancangan pengajaran tahunan ataupun lebih dikenali sebagai rpt. Bahan bahan yang dikongsikan seperti rpt, modul, kertas peperiksaan, nota dan pelbagai lagi adalah perkongsian bahan pdpc daripada rakan rakan guru seluruh malaysia. Please copy and paste this embed script to where you want to embed. Untuk nota bahan di atas iaitu dapatkan rpt matematik tingkatan 5 yang boleh di download. Selamat memuat turun & jumpa lagi nanti. Dskp kssm matematik tingkatan 4 dan 5. Rpt pendidian sivik dan kewarganegaraan kbsm tingkatan 5 2019. Savesave rpt math f5_2019 for later. Akhir sekali sebelum berpisah, admin berharap agar terima kasih kerana singgah ke blog pendidikan kami ini. © © all rights reserved. Faiq najmi january 16, 2017. Rpt matematik tingkatan 5 2019. Akhir sekali sebelum berpisah, pihak admin berharap agar terima kasih kerana menyokong ke website kami ini.

Selamat memuat turun & jumpa lagi nanti. Selari dengan perkembangan pesat teknologi digital, kementerian pendidikan malaysia akan menggunakan teknologi dan kandungan digital dalam dalam bidang pendidikan. Just preview or download the desired file. Rancangan pengajaran tahunan kimia tingkatan 5. Rpt rbt ting 1 2019 rusni.

Contoh Soalan Matematik Tingkatan 4 Kssm 2020
Contoh Soalan Matematik Tingkatan 4 Kssm 2020 from online.anyflip.com
Rpt tahun 5 matematik 2019. Ubahan7/25/2019 nota ringkas matematik tingkatan 5 8/13nota ringkas matematik tingkatan 5bab 6: Create html5 flipbook from pdf to view on iphone, ipad and android devices. Berikut adalah hsp matematik kbsm tingkatan 5 : Standard kandungan dan standard pembelajaran. Akhir sekali sebelum berpisah, pihak admin berharap agar terima kasih kerana menyokong ke website kami ini. Kalau taknak pun takpe, boleh tengok kat bawah ni je hahaha. 0 ratings0% found this document useful (0 votes).

Create html5 flipbook from pdf to view on iphone, ipad and android devices.

Berikut adalah hsp matematik kbsm tingkatan 5 : Rancangan pengajaran tahunan kimia tingkatan 5. © © all rights reserved. Rpt 2020 matematik tingkatan 4 kssm. Mohd hafiz abd qayyum bin shafie. Rpt pendidian sivik dan kewarganegaraan kbsm tingkatan 5 2019. Huraian sukatan pelajaran matematik tingkatan 5. Rpt rbt ting 1 2019 rusni. Objektif pembelajaran murid akan diajar untuk : Rancangan pengajaran ini telah disediakan dan dirangka bagi. Savesave rpt math f5_2019 for later. 04.01.2019 · rpt matematik kssm tingkatan 1 2019 adalah dokumen secara ringkas isi pengajaran dan pelan proses mengajar p&p secara bertulis berdasarkan dokumen standard kurikulum dan pentaksiran (dskp) yang dikeluarkan oleh kementerian … Dikongsikan rpt terbaru 2019 bagi semua subjek kssm untuk setiap tingkatan dari portal sumber pendidikan, gurubesar.my dan pelbagai sumber lain.

Rpt rbt ting 1 2019 rusni. Savesave rpt math f5_2019 for later. Soalan matematik, soalan matematik tingkatan 4, soalan matematik tahun 4, soalan matematik contoh soalan kbat sejarah tingkatan 4 kssm matematik tingkatan 5 2020. Bumi sebagai sfera7/25/2019 nota ringkas. 0 ratings0% found this document useful (0 votes).

Buku Teks PDF KSSM Tingkatan 1 Matematik
Buku Teks PDF KSSM Tingkatan 1 Matematik from www.sistemguruonline.my
Akhir sekali sebelum berpisah, pihak admin berharap agar terima kasih kerana menyokong ke website kami ini. Penyusunan semula kssm matematik mengambil kira kesinambungan dari peringkat sekolah rendah ke peringkat sekolah menengah dan seterusnya ke peringkat yang. Rancangan pengajaran tahunan tingkatan 5 2021 kurikulum standard sekolah menengah, kongsikan bersama rakan. Rpt tingkatan 5 boleh diakses oleh para pendidik, ibu bapa serta pelajar. Hari ini saya ingin berkongsi beberapa video mengenai subjek matematik tingkatan 5 untuk semua bab. Rancangan pengajaran tahunan (rpt) ini digunakan untuk membantu serta membimbing sesi pengajaran dan pembelajaran di dalam dan luar kelas. Create html5 flipbook from pdf to view on iphone, ipad and android devices. Selamat mendownload & datang lagi lain kali.

Rpt matematik tingkatan 5 2021 :

Objektif pembelajaran murid akan diajar untuk : Please copy and paste this embed script to where you want to embed. Need to access completely for ebook pdf nota matematik tingkatan 2? Standard kandungan dan standard pembelajaran. Sekian, semoga perkongsian informasi kali ini iaitu rpt 2019 kssr tahun 5 matematik memberikan informasi terkini kepada anda semua dan semoga segala. Format baharu pt3 2019/ 2020 infocarian via www.infocarian.com. Tapi kalau nak secara terperinci dan full (kssm) kurikulum standard sekolah menengah (matematik) tingkatan 4 dan 5. Faiq najmi january 16, 2017. Untuk nota bahan di atas iaitu dapatkan rpt matematik tingkatan 5 yang boleh di download. Rpt tahun 5 matematik 2019. Kecerunan dan luas bawah graf7/25/2019 nota ringkas matematik tingkatan 5 11/13nota ringkas matematik tingkatan 5bab : Kalau taknak pun takpe, boleh tengok kat bawah ni je hahaha. Savesave rpt math f5_2019 for later.

Related : Rpt Matematik Tingkatan 5 2019 - ANALISIS&TIP MATEMATIK TINGKATAN 4&5 KBSM SPM 2019 : Saya harap dengan perkongsian video ini dapat membantu anda untuk lebih mahir dalam subjek matematik..